1.5.11.1. Maximum wind speed prediction at the Sprogø station¶
The exercise goal is to predict the maximum wind speed occurring every 50 years even if no measure exists for such a period. The available data are only measured over 21 years at the Sprogø meteorological station located in Denmark. First, the statistical steps will be given and then illustrated with functions from the scipy.interpolate module. At the end the interested readers are invited to compute results from raw data and in a slightly different approach.
Statistical approach¶
The annual maxima are supposed to fit a normal probability density function. However such function is not going to be estimated because it gives a probability from a wind speed maxima. Finding the maximum wind speed occurring every 50 years requires the opposite approach, the result needs to be found from a defined probability. That is the quantile function role and the exercise goal will be to find it. In the current model, it is supposed that the maximum wind speed occurring every 50 years is defined as the upper 2% quantile.
By definition, the quantile function is the inverse of the cumulative
distribution function. The latter describes the probability distribution
of an annual maxima. In the exercise, the cumulative probability p_i
for a given year i
is defined as p_i = i/(N+1)
with N = 21
,
the number of measured years. Thus it will be possible to calculate
the cumulative probability of every measured wind speed maxima.
From those experimental points, the scipy.interpolate module will be
very useful for fitting the quantile function. Finally the 50 years
maxima is going to be evaluated from the cumulative probability
of the 2% quantile.
Computing the cumulative probabilities¶
The annual wind speeds maxima have already been computed and saved in
the NumPy format in the file examples/max-speeds.npy
, thus they will be loaded
by using NumPy:
>>> import numpy as np
>>> max_speeds = np.load('intro/scipy/summary-exercises/examples/max-speeds.npy')
>>> years_nb = max_speeds.shape[0]
Following the cumulative probability definition p_i
from the previous
section, the corresponding values will be:
>>> cprob = (np.arange(years_nb, dtype=np.float32) + 1)/(years_nb + 1)
and they are assumed to fit the given wind speeds:
>>> sorted_max_speeds = np.sort(max_speeds)
Prediction with UnivariateSpline¶
In this section the quantile function will be estimated by using the
UnivariateSpline
class which can represent a spline from points. The
default behavior is to build a spline of degree 3 and points can
have different weights according to their reliability. Variants are
InterpolatedUnivariateSpline
and LSQUnivariateSpline
on which
errors checking is going to change. In case a 2D spline is wanted,
the BivariateSpline
class family is provided. All those classes
for 1D and 2D splines use the FITPACK Fortran subroutines, that’s why a
lower library access is available through the splrep
and splev
functions for respectively representing and evaluating a spline.
Moreover interpolation functions without the use of FITPACK parameters
are also provided for simpler use.
For the Sprogø maxima wind speeds, the UnivariateSpline
will be
used because a spline of degree 3 seems to correctly fit the data:
>>> import scipy as sp
>>> quantile_func = sp.interpolate.UnivariateSpline(cprob, sorted_max_speeds)
The quantile function is now going to be evaluated from the full range of probabilities:
>>> nprob = np.linspace(0, 1, 100)
>>> fitted_max_speeds = quantile_func(nprob)
In the current model, the maximum wind speed occurring every 50 years is defined as the upper 2% quantile. As a result, the cumulative probability value will be:
>>> fifty_prob = 1. - 0.02
So the storm wind speed occurring every 50 years can be guessed by:
>>> fifty_wind = quantile_func(fifty_prob)
>>> fifty_wind
array(32.97989825...)
The results are now gathered on a Matplotlib figure:

Solution: Python source file
¶
Exercise with the Gumbell distribution¶
The interested readers are now invited to make an exercise by using the wind
speeds measured over 21 years. The measurement period is around 90 minutes (the
original period was around 10 minutes but the file size has been reduced for
making the exercise setup easier). The data are stored in NumPy format inside
the file examples/sprog-windspeeds.npy
. Do not look at
the source code for the plots
until you have completed the exercise.
The first step will be to find the annual maxima by using NumPy and plot them as a matplotlib bar figure.

Solution: Python source file
¶
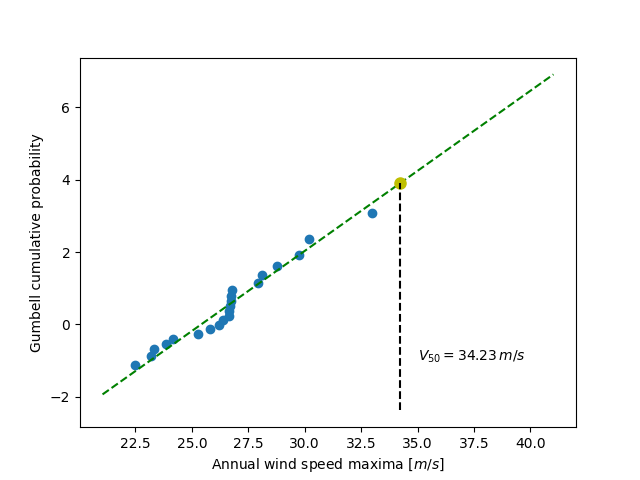
The second step will be to use the Gumbell distribution on cumulative probabilities
p_i
defined as-log( -log(p_i) )
for fitting a linear quantile function (remember that you can define the degree of theUnivariateSpline
). Plotting the annual maxima versus the Gumbell distribution should give you the following figure.

Solution: Python source file
¶
The last step will be to find 34.23 m/s for the maximum wind speed occurring every 50 years.